[Originally published on Patreon on 2023, April 29th]
Recently, Lance Hedrick alerted me to the publication of a fantastic YouTube video and blogpost where the Kaffeemacher team discussed 24 espresso grinders in great detail, including a deep dive about their particle size distributions. I highly recommend you watch the video, although subtitles may be required as the audio is in German. They cover much more than particle size distributions: they also discuss retention, noise level, price, blind tastings and more.
The Laffeemacher team then asked Marco Wellinger at the Zurich University of Applied Science (ZHAW) to gather particle size distributions (PSDs) from their grinding samples (they used an 82-points natural Brazilian coffee) with a Camsize X2 imaging device build by Retsch Technology, across a range of grind sizes and for each grinder. They even took care to measure PSDs specific to 3 dialled-in recipes (ristretto, espresso and allongé) for each grinder while doing so. When Lance told me this, I decided to try out digging into these data and see if I could gather some interesting insights from them.
First, I want to give a brief reminder of what a particle size distribution is, for readers that may not be deeply familiar with the topic. It is something I have discussed in my book The Physics of Filter Coffee, and was also covered recently by Michael Cooper who also write the Quantitative Coffee blog, which I highly recommend if this topic interests you (all his other posts are also really good).
A PSD basically tells you the respective contributions of each particle size in your ground coffee sample. They usually tell you about the total volume contribution (same as weight contribution if your coffee has even density) from particles at each different diameter, in a graph that looks like this:

While there are many ways of displaying a particle size distribution, I usually like to use volume contribution as a function of the particle diameter in logarithm, because it is easier to interpret, and tells you more about the extraction dynamics because the coarser peak (often called the nominal peak) is clearly visible. Viewing a PSD by contribution to the total number of particles would emphasize the fines peak only, which gives us important information about mouthfeel, puck resistance, and potentially alignment (see the Appendix of Uman et al. 2016), but it is often impossible to see the nominal peak in such a representation.
The first thing I wanted to investigate in the Kaffeemacher dataset was how prone the different grinders were to generating coffee fines for a given grind size. A common way to investigate this is to calculate the fraction of fines by volume of ground coffee (i.e., the surface area under the curve, or “integral”, of the PSD from zero to 100 microns), and to plot it as a function of the median particle size. Observing a single PSD for a grinder gives us very little information, because changing the burr spacing has a significant impact on the amount of fines produced, as well as changing the average particle size:


To complicate things further, different coffee beans or roasting can significant alter a PSD (see this nice blog post on the topic by Mark Al-Shemmeri). Even worse, different laser diffraction machines or imaging machines can produce data with different levels of smoothing (a more correct technical term would be “binning”), and vastly different systematic errors. For these reasons, comparing a single PSD of different grinders is of very limited use, unless something like the peak of the PSDs are aligned, a not very fun task to accomplish. Such comparisons are also next to useless if the samples were not obtained using the same coffee and PSD measurement machine. I therefore encourage all or you to be much more skeptical of the utility of comparing a handful of PSDs to each other, and I would very much like to see more high-quality data sets like the one obtained by Kaffeemacher, where a large number of PSDs are gathered, across a wide size of grind sizes, for several grinders at once using the same technique, PSD machine and coffee beans.
This is daunting task I know, but this is really the only way we will get to the actual signal about what is going on, instead of merely introducing more confusion due to noise and systematics. And for readers intending to gather such data, I recommend also controlling grinder rpm and the feed rate of beans through the grinder as these can also have a massive impact on the PSD of a grinder (the Weber Key grinder is one example where the PSD is affected massively by these two latter factors, perhaps because it uses a conical burr). Hats off to the Kaffeemacher and ZHAW teams for gathering this monumental data set that must have taken days of hard work.
When we do have a set of PSDs across different grind sizes for at least two grinders, we can compare how the fraction of fines map out as a function or median particle size. A single grinder usually falls across a thin curve in such a plot, and different grinders can describe very different curves;

We can then choose one median particle size as a reference point where we measure the fraction of fines, to characterize how generally prone to generating fines a grinder is, without to worry about grind size. In the current data set, all grinders had at least one data point on either sides of a median of 340 microns, so I chose this value as a reference point. The solid line that I show above was obtained by fitting a two-degrees polynomial to the data points.
It is interesting to note that not all such curves have the same slope, and therefore fully describing the style of a grinder in its being prone to generate fines may require more than a single number representing a single vertical shift of the curve. One such example was clear in one of Lance’s latest hand grinders data set which he characterized with a laser diffraction machine:

In the example above, we can see that the Mazzer Omega grinder behaves like the Kinu M47 at finer grind sizes (it generates more fines, which I refer to as “less unimodal”). At coarser grind sizes, it starts behaving a bit more like the Comandante C40 grinder (i.e., less fines, or “more unimodal”). This means it can sometimes be wrong to simply say “grinder A is more unimodal than grinder B” as these properties can change across the espresso and filter regimes. This effect is not too important in the current data set, and in our discussion, because we are focusing on a more narrow range of grind sizes for espresso.
This general behavior where one aspect of a PSD gradually changes versus grind size is not limited to the fraction of fines, and we can repeat a similar analysis with any other quantity we would like to measure on a PSD. One that I find particularly interesting is how prone a grinder is to generating boulders (particles larger than the intended size). One very empirical way to do this is to pass two straight lines (in a logarithmic particle size plot) between the PSD values at (a,b) microns and (c,d) microns to depress the valley between fines and coarser particles, and then locate the coarsest peak in the distribution to finally measure the width of the peak on the coarser right-hand side. This characteristic half-width on the right size of the coarse peak in a PSD is what I will refer to as the “extend of boulders”, expressed in microns. Larger values means more boulders were generated.

If we repeat the analysis of how this parameter varies with grind size, we get the following results:

In the figure above, I chose the reference median particle size at 340 microns yet again. It then becomes interesting to compare the amount of fines a grinder generates (what I call “unimodality”), to how many boulders a grind generates (I will call this “uniformity”) at the reference particle size:

I know this figure is quite dense, so take your time with it. Not only this figure potentially maps out a “taste territory”, and how different grinders may be comparable or different, it also tells us two things:
(1) Conical burrs appear on average less unimodal and less uniform, although there is a large overlap meaning that one can easily find a specific flat burr that is less unimodal and less uniform than a specific conical burr. This is in line with what is often said about conical versus flat burrs, with the caveat that it is only true on average, and not in all specific cases.
(2) Contrary to popular hearsay, more unimodal grinders appear to also be more uniform on average. It would have intuitively made sense that grinders applying more cuts would generate more uniform particles but also more fines, but this appears to be an over-simplification, and other factors probably related to burr geometry or alignment dominate this trend.
One large caveat here is that we do not have a way of knowing whether these grinders are well aligned or not, and this could plausibly affect both their unimodality and their uniformity. One way to tackle this problem would be to characterize a few units for each brand of grinders, but yet again this would make the data collection task even more daunting.
There is also no obvious trend with rpm in the figure above. This does not surprise me because in my experience, the impact or rpm on PSDs is very grinder- and burr-specific, and in many cases it has no effect on the PSD other than shifting the grind size a bit.
Here’s another version where I colored every point according to burr diameter instead of rpm:

It is important to be mindful of the fact that cones behave quite differently for a given burr diameter, as the beans do not actually cross one half of the diameter like they do with conical burrs, but instead travel almost vertically, though at an angle. Because of this, I’d recommend only comparing the colors of the data points above within conical burrs, and then within flat burrs, independently of each other. With this caveat in mind, one thing that is clearly not obvious in the data is the current hearsay that larger flat burrs produce more uniform (or even more unimodal) grind sizes. Although we do not have an amazing range to work with here, we only have a single large 83 mm flat burr that is quite unimodal but not very uniform, and otherwise a set of 50—70 mm flat burrs that do not clearly get more uniform with burr size, and perhaps even get less unimodal on average with burr size. It therefore appears that burr geometry may be more important than burr size in determining unimodality and uniformity.
Another interesting test is to color the data points according to the blind tasting scores assigned by the Kaffeemacher team (with the same coffee bean). Note that they only rated a subset of the grinders (otherwise they would probably have died), so I will leave out the other symbols in gray:

Here, we can see that the top-rated grinders appear to be somewhat balanced in this particular figure rather than being located at one extreme. It is still hard to say this is super conclusive (we would need many more such studies for this), but one thing this figure teaches us probably with some robustness is that unimodality and uniformity were apparently not the only factors at play. Notice how the G-Iota Probarista grinder, which was rated quite badly in the blind tasting, falls pretty close to the Baratza Forté and the Niche Zero which both came out near the top of the blind tasting cores. This hints that probably something else, perhaps even not visible in a PSD, such as clumping or heating of the grounds, affected the taste in a negative way with the G-Iota Probarista grinder.
Although I find all of this extremely fascinating and I suspect this will help compare grinders a bit more objectively, we still need to map these parameters out in terms of how they affect taste, and that will not be easy. We will discuss a bit how unimodality has a large impact on the style of espresso, affecting both average extraction yield, and the clarity versus mouthfeel balance, but uniformity is less clear. I would expect higher-uniformity burrs to yield a higher average extraction yield and more clarity without a strong impact on the perceived mouthfeel of a shot, but this remains to be demonstrated.
For the more technically minded readers, the error bars in the figures above were drawn from the median absolute deviation of individual data points in the fraction of fines – or extent of boulders – versus the polynomial fit described earlier. Median absolute deviations are similar to standard deviations, but are less affected by a small number of large outliers in the data.
It is also interesting to investigate how other aspects of a PSD evolve with grind sizes for different grinders. A few years ago I noticed that laser diffraction PSDs were quite well fitted by a model of three log-normal distributions (based on PSDs published one Home Barista), but I never took the time to actually write a post about this and discuss the technical implications this has. Recently, Michael Cooper expressed interest in modelling PSDs so I encouraged him to use this model, which he did using laser diffraction data that Lance Hedrick had obtained for hand grinders. As expected, this tri-lognormal model worked quite well for Lance’s data set, as well as for the Kaffeemacher data set. You can also see in Michael’s post a discussion of how these different sub-peaks evolve as a function of grind size).


Readers not interested in highly technical details, skip this paragraph. In order to fit these models, I went directly with the cumulative distribution function (CDF, i.e. the integral of the PSD) instead of the PSD itself, to minimize the impact of machine sampling, and eliminate the problem of choosing a bin size (or a kernel function for Kernel Density Estimates). I used a Levenberg-Markwart gradient descent method which worked well when using appropriate starting estimated parameters. When doing this, it is important to define reasonable parameter bounds, and sometimes necessary to take a few different initial parameter estimates and pick the best-converged model using the reduced chi-squares. Otherwise, a more involved method such as Markov Chain Monte Carlo would provide more robustness which would allow for less supervision of the fit convergence, but I did not find this was necessary here. I estimated error bars on the fitted model parameters by calculating the median absolute deviation of the fitted model minus the CDF, used these as “measurement errors” on the CDF in a new Levenberg-Markwart fit where the error bars of the observations were then projected on the derived parameters.
Here are a few different plots where I show how the fitted parameters change as a function of grind size for different grinders:


One interesting result, shown below, is that the location of the fines peak is moving slightly for different grinders. The effect is small, but larger than measurement errors and therefore likely to be real. However, it is not clear at all whether this affects taste in a perceivable manner, especially given the very small shifts involved, of up to 8 microns, about 20% of the typical fines size. If it did, however, I would expect this to have mostly an impact on the style of mouthfeel and its intensity.

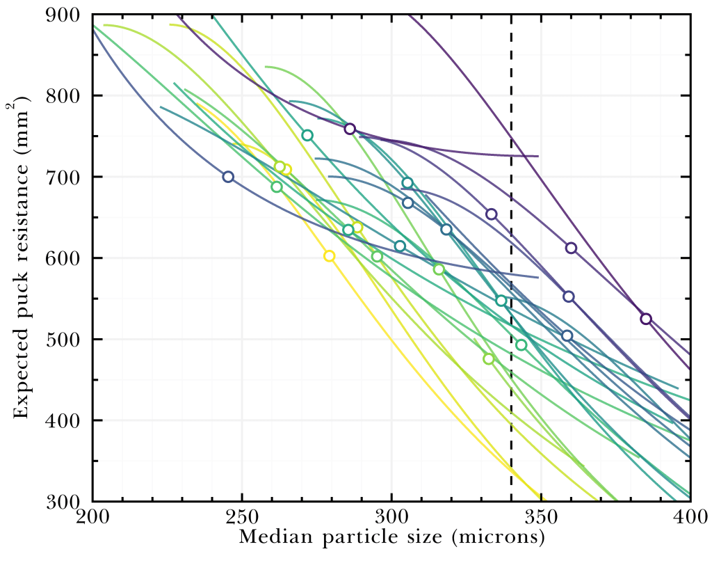
Another interesting observation is that the PSDs dialled in for espresso did not follow predictions from empirical soil permeability equations determined in geophysics, where water is expected to flow faster as a function of the 10% centile of the PSD squared (see Anderson et al. 2007).

If the geophysics prediction held, we would have expected all dialled-in symbols to line up at a similar value for the expected puck resistance. I have three hypotheses for why this prediction may not hold well in coffee:
Different PSDs give rise to different initial espresso viscosities, because a larger total surface area of particles may liberate more solubles, oils and CO2 faster. Because dialling in a shot of espresso requires a similar drip rate, it is not only the intrinsic resistance of the coffee bed that matters but also the fluid’s viscosity.
The high pressures involved in espresso are not often encountered in natural soil percolation, meaning that the ensuing reconfiguration of the coffee puck (compression or fines migration and clogging) may also have an important impact.
The material properties of coffee particles (mainly shape and surface roughness) may otherwise be very unusual. I find this hypothesis less likely at face value, because the geophysics relation is supposed to hold across a wide range of soil types which cover many different shapes and surface roughnesses.
It is also interesting to observe the 24 PSDs at espresso dial in for the 24 different grinders:

There are some small-scale fluctuations that make it a bit hard to interpret the figures above, and are probably related to sampling or systematics rather than interesting phenomena, so here are the same ones with a polynomial smoothing applied (also called a Savitzky-Golay filter):

One interesting point in this graph is that the different PSDs have relatively similar amounts of fines per grams of ground coffee. However, this is not exactly true as we will see below, but it is quite accurate to say that when we dial in espresso, we are dialling in the amount fines more so than we are dialling in the average size of coarse particles. Different grinders therefore have wildly different locations of their coarser nominal peak at dial-in. This is mainly caused by the different fractions of fines in different grinders. A grinder prone to producing many fines would result in a much increased puck resistance for a given nominal peak, and thus the barista needs to grind coarser to compensate. This is nicely illustrated in the median particle size at dial in as a function of grinder unimodality:

This is the one parameter I found correlated best with how coarse the median particles are at dial-in. Indeed, more unimodal grinders require a much finer average grind size when pulling a shot of espresso, very much in line with my experience when pulling low-fines espresso shots.
As I mentioned above, the process of dialling in therefore involves adjusting the total amount of fines in your coffee puck to a roughly stable quantity per grams of coffee. If your grinder tends to generate less fines, you will thus need to grind finer to accomplish this. There is, however, a highly non intuitive twist to this. When we compare the fraction of fines in the PSDs once dialled in for different grinders, we find a relation that completely surprised me:


These figures show that more unimodal grinders actually require us to reach a slightly larger amount of fines per gram of coffee in our puck to be dialled in, on average. Astute observers might have already noticed this when inspecting the figure above where I showed all of the PSDs at dial-in. Hence, it is not perfectly accurate to say that we are dialling in all grinders to the same amount of fines per gram of coffee, and weirdly, the more unimodal a grinder is, the more we need to over-shoot and generate even more fines per gram of coffee in the puck to reach dial-in. I find this phenomenon of “over-shooting” quite hard to explain, and I suspect it has to do with indirect effects, such as the puck compressing or reconfiguring differently in more unimodal grinders. This also makes it harder to understand why the perceived body is lower in unimodal shots such as those produced with the Weber EG-1’s ULF burrs, as we are very likely using more fines per gram of coffee in a dialled in ULF puck. Perhaps the finer average particle size and the ensuing smaller gaps between particles make it harder for the fines to migrate far before they clog somewhere in puck, before reaching the beverage.
Initially, I suspected this overshooting effect could have been caused by the nominal peak bleeding into the particles finer than 100 microns at finer grind sizes for the more unimodal grinders, and therefore affecting our definition of the fines fraction which is just the sum of all the contributions of such fine particles, but when looking at a similar relation using the model fitting parameter corresponding to the amplitude of the fines peak (which does not suffer from this bleeding in effect), this effect of over-shooting is still very clear:

One issue we clearly have here is the difficulty of interpreting the styles of grinders that differ in many different ways. For example, in the unimodal versus uniform figures above, we are only comparing two parameters of the grind styles against each other. One way to visualize more dimensions at once is to only compare a few grinders together in a radar chart, often used for describing differences in taste patterns:
























Finally, I will leave you with a bad case of data overwhelm, if you were not already feeling it. I have made available here a large number of figures from this analysis, and I will place below a series of those I consider most interesting. Perhaps in the future when we better understand the impact of these parameters on taste this will become akin to a menu describing the expected subjective profiles of these grinders.
TL;DR summary of this post:
- It is important to gather many particle size distributions with a single grinder and coffee across a wide range of grind sizes to really characterize its grinding style. Comparing grinders with only a handful of particle size distributions is more often than not useless.
- Particle size distributions in the range from 10 microns to above 1200 microns are usually quite well reproduced by a three-components log-normal model.
- Different grinders can clearly be separated in how much fines they generate for a given median particle size (unimodality) and how narrow the nominal particle size peak is (uniformity).
- Grinders show significant variations in both their unimodality and uniformity, but also several more PSD properties, such as the narrowness of the nominal peak and the contribution of middle-sized particles.
- The taste preferences of the Kaffeemacher team align with grinders that have middle-of-the-road unimodality and uniformity. However, other factors also seem involved in their resulting taste preferences.
- Conical burrs were less unimodal and less uniform than flat burrs, on average.
- Unimodality correlates strongly with uniformity, contrary to popular hearsay.
- Rotations per minute of the burrs does not correlate clearly with unimodality or uniformity. As expected, conicals use slower rpms on average.
- Larger burrs size do not systematically produce more uniform or more unimodal grind sizes within this sample (note that conicals have smaller diameters on average in this sample, as expected, but not necessarily shorter grind paths). If anything, within this particular sample most larger flat burrs produce less unimodal particle size distributions. There is, however, a notable exception where the only 83 mm flat burr in this sample (Ceado E37 Nero) is more unimodal than average. It remains to be seen if there is a general trend where much larger burrs open up the possibility for more unimodal or more uniform grind sizes, but burr teeth geometry and coating appear much more important as driving factors.
- Dialling in espresso involves adjusting the fraction of fines per grams of ground coffee, much more so than the location of the coarse peak or the average particle size. It is also affected by other parameters that are still unclear, to a lesser extent.
- Grinders with a profile less prone to generating fines overall need to be adjusted so fine for espresso dial in that we end up using more fines per unit grams of coffee in our dialled in puck, counter intuitively. I call this an “over-shooting” effect when adjusting the fraction of fines during dial-in.
Many thanks to the Kaffeemacher team and Marco Wellinger at the ZHAW Coffee Excellence Center for collecting these data, and to Lance Hedrick for calling my attention to this dataset and contacting the authors to obtain the raw data.











Above: A figure set where I looked for correlations between the different measured properties across grinders.














Above: A figure set where grinders are sorted by each measurement.
