The Struggle for a Steady Kettle Flow

Reminder: as an Amazon Associate I earn small commissions from qualifying purchases made through some of the links below.

Recently, I started attempting to modify my Brewista Artisan 0.6L gooseneck kettle to reduce its maximum flow rate and make it easier to keep a constant kettle flow of about 5 grams per second during my brews.

The Brewista Artisan 0.6L has a gooseneck with an inner opening diameter of 5.5 mm at the exit spout, which results in a maximum flow rate of about 24 g/s. This is a bit more than I would like, as I rarely ever need to pour that fast, and this makes it a bit harder to pour consistently at only 20% of the maximum flow rate. I asked someone on Instagram who has a Fellow Stagg EKG 0.6L to measure its maximum flow rate, and it is apparently a bit lower, at 20 g/s. This is quite nice, and adds another reason why I would have chosen the latter kettle if I was to do this again. Other reasons include not having to press re-heat again every time I pick up the kettle; the nice counter-weight in the handle which makes it easier to pour consistently; and the much better and more responsive customer service of Fellow versus Brewista.

If you wonder why I’m worrying about kettle flow speed, the consistency of my swirls and my accuracy in measuring TDS, it’s all because I’m trying to make every aspect of my brewing as consistent as I can from one brew to the next. There are a lot of things I would like to investigate which will require my brews to be very stable, including but not limited to:

  • The effect of filters on flow and clogging.
  • The effect of coffee aging and hardness on flow (through its shattering properties during grind).
  • The effects of bed preparation (nest shape, etc.) on extraction evenness.

Those are just a few examples in a very long list; it’s possible that getting a Decent espresso machine in pour over mode may allow me to do this, but saving up Patreon funds for it will take a long time, so I think it’s worth improving my manual repeatability in the meantime. I want to improve my repeatability not only in terms of extraction yield, but also brew time and flow of coffee coming out of the V60.

The first way in which I attempted to reduce my kettle flow was to obtain a Mandritech Hand Drip Water Valve, which you may have seen on my Instagram or Telegram channel. This product is only sold in Asia, but Edo Rezaprasga, a reader of my blog, was kind enough to mail me one so that I could test it.

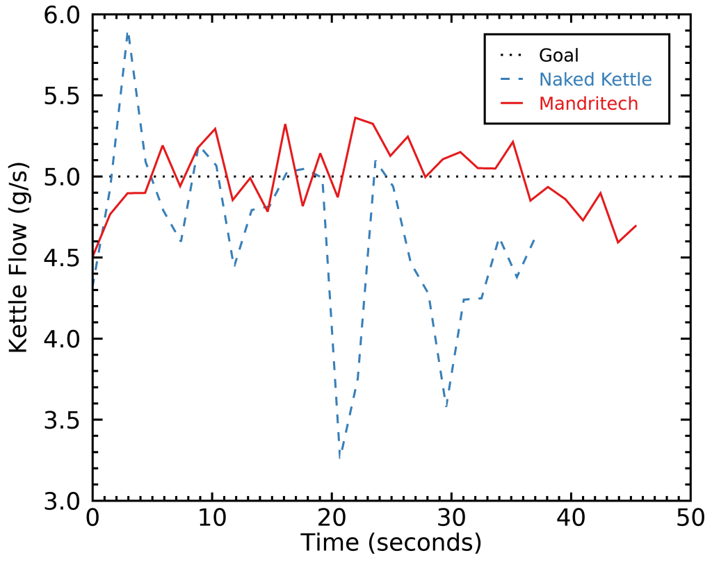
The device ended up working very well in terms of getting a more constant kettle flow, as can be seen on this graph where I tried to maintain my flow at 5 g/s with and without the valve:

There is however one big drawback in using the Mandritech valve; it ended up making the flow of water much less cohesive, which resulted in less agitation, and lower average extraction yields. You can see how the flow breaks up after a very small vertical distance at 5 g/s in this video:

I could even see that the layer of water on top of my coffee bed was super clean, which is a telltale sign that very little agitation is being applied on the slurry:

For example, brewing Passenger’s Los Yoyos 2017 Harvest coffee without the Mandritech with my usual recipe (22 g dose with 1:17 ratio, Rao/Perger boiling water, 5 g/s kettle flow) yielded 1.49% TDS with a 320 g beverage weight for an average extraction yield of 21.7%, whereas brewing the same coffee in the same way with the Mandritech yielded a 328 g beverage weight at 1.28% TDS for an average extraction yield of 19.1%. This is quite a heavy loss !

Fancy gooseneck kettles are slightly twisted near the tip, and that makes their flow much more cohesive. As a result, the stream of water falling from the kettle can penetrate deeper in the slurry, and can introduce turbulence all the way down to the coffee bed instead of having all its kinetic energy dispersed near the surface of the water. This is an important aspect of gooseneck kettles that I had not appreciated before.

This does not mean it’s impossible to brew well with the Mandritech, but optimal pour over recipes for its use would resemble those that work well with the Melodrip, and this is yet another rabbit hole I have not explored well. Judging from Ray Murakawa’s brews, it seems that Melodrip-style pour overs work better with smaller doses, much finer grind size and more agressive blooms to get rid of dry pockets despite the finer grind size.

Just when I was about to leave the possibility of flow restriction aside, Edo wrote back to me and told me he found a set of flow restrictor plugs small enough to fit my Artisan 0.6L model ! Those are very similar to the Brewista-branded ones that only work with the larger 0.9L kettles, except with way more choices in terms of outer and inner diameter sizes. This is yet again another piece of geeky coffee gear that is only available in Asia, so I could only get my hands on one thanks to Edo again ! I asked him to get the model that has an inner diameter closest to 4.1 mm, as I calculated that this would result in a reduced flow of about 10 grams per second according to Sampson’s law. Edo found one with an inner diameter of 4.0 mm (the Bonavita number 5) and sent it to me.

We were not sure if the outer diameter of the restrictor would correspond to whatever the inner diameter of my kettle is at the base of the gooseneck, but I couldn’t verify whether it was 5.5 mm wide with my digital caliper anyway, because it doesn’t fit inside the kettle. We thus decided to try ordering it anyway and see what would happen.

When I received it, I measured its outer and inner diameters with my caliper and found that the inner diameter was 4.0 mm as expected, but the outer diameter was 6.9 mm, a bit larger than the exit spout of the Brewista Artisan gooseneck. Fortunately, 6.9 mm seems to be exactly the size of the gooseneck entrance opening at the base, because the flow restrictor fitted perfectly ! I have no idea why they are called Bonavita flow restrictors; I am not aware of a Bonavita kettle with such a small gooseneck diameter.

The maximum flow rate with the restrictor installed turned out to be about 9.5 g/s, very close to the expected value ! When I saw that, I went ahead and tried brewing with it, which resulted in a total mess. I realized mid brew that the boiling water seemed to create some bubbles near the smaller entrance of the flow restrictor, resulting in a very uneven flow. The kettle flow kept interrupting, or spitting high-velocity drops of water which created bad splattering. Here’s an example of such uneven flow in this video:

In order to test whether the boiling water was really the cause of this messy flow, I tried pouring with water at 210°F instead of 212°F, and the result was much better ! Here’s what this looked like:

So I went ahead and made another brew at 210°F, and this time the kettle flow went super well. Here’s a video of that brew:

I was brewing Heart’s Colombia Decaf Platino which is a washed mix of Caturra & Castillo decaffeinated with the ethyl acetate process. I used a grind setting of 7.3 at 700 RPM on the EG-1 with a 22 g dose, Rao/Perger water, a kettle flow of 5 g/s with a 1:17 ratio that resulted in a brew time of 4:50, a 323 g beverage weight and a 1.31% TDS concentration. This corresponds to a 19.2% average extraction yield. Decaffeinated coffee always extracts much lower than usual so that number is quite normal. Decaf coffee beans are also very brittle and therefore generate a lot of fines. This is why I used a coarser grind size than usual, and still ended up with a long drawdown time of 4:50; I should have ground even coarser than that. The brew tasted quite good; Heart are one of the rare roasters that roast their decaf coffee well. It was not astringent despite the long drawdown time, but I actually never tasted an astringent decaf, so I would not be surprised if the ethyl acetate process also removes whatever is responsible for astringency. Note that both of my swirls were quite bad in this brew.

You might think that it’s not worth losing 2 degrees Fahrenheit to get a more reliable kettle flow, but I actually think it’s worth it especially in my case; the loss of temperature in the slurry will be smaller than 2 degrees because water temperature drops faster from 212°F than it does from 210°F, but more importantly it will make my brews more repeatable which is very useful for science !

Here’s a comparison of how steadily I was able to pour with the non-upgraded Brewista Artisan kettle, with the Mandritech valve, and with the flow restrictor:

You can see that either the Mandritech or the flow restrictor allowed me to reach a much better stability, but only the flow restrictor allowed me to do this without losing the cohesion of my kettle flow ! To quantify this a bit better, here are the averages and standard deviations of the kettle flows I obtained during these practice pours:

  • Default kettle: 4.6 ± 0.6 g/s
  • Mandritech: 5.0 ± 0.2 g/s
  • Flow restrictor: 5.1 ± 0.2 g/s

Thanks again to Edo Rezaprasga for making all of this possible ! I’m super happy I finally found a solution to make my kettle flow more stable.

Published by jgagneastro

I’m a researcher in astrophysics at the Rio Tinto Alcan planetarium of Espace pour la Vie, in Montreal.

17 thoughts on “The Struggle for a Steady Kettle Flow

  1. Amazing! I just bought a Brewista flow restrictor for my Bonavita 1L Temperature Controlled Gooseneck kettle, tested it this morning for the first time, and had similar results in regards to pulsing or “blubbing” of the water flow which seems to be a result from the boiling water; I could even see tiny bubbles at the restrictor when I opened by kettle lid. Coincidentally, I emailed you about it this morning before I saw this post on your site. Crazy!

    I found similarly that a lower temperature i.e. 210 F or less did not cause this pulsing action. Another issue I had while using the flow restrictor is that I cannot get a fast enough flow to rinse the filter quickly (especially brown/natural ones) and bloom the coffee well. Have you run into this? Do you think a flow rate of greater than 5g/s is required for a proper bloom? I typically make the nest with my finger like you do. Thanks.

    By the way, I just bought a bag of Heart Colombia La Morelia and have sampled two other ones including Ethiopian Worka Sakuro at a local coffee shop. I am loving their coffee and look forward honing in my V60 recipe for the Colombian!

    Like

    1. Awesome ! Haha yes I saw your email when the post was about to go up, that’s a nice coincidence. I can still get up to ~ 7 g/s with my restrictor and I have not had issues with filter rinsing or blooming. I’m happy to hear you also enjoyed the late Heart roasts !

      Like

    1. Hey Victor, I chose it by trial and error; it seems to maximize EY without causing channels and astringency, and that corresponds the the better brews I’ve made so far. I think it might be dependent on pour height, grind size, your kettle etc., so I consider this a temporary optimum that may only work with my particular equipment.

      Like

      1. Thanks for clarifying that. I surmised that would be the case, unfortunately it seems for many things an educated guess based on trial and error is still the best we have 🙂

        So far I’ve usually been pouring at higher flow rates, I’ll try reducing to around 5 g/s and see what I think. Cheers!

        Liked by 1 person

      2. I think higher flow rates are better when pouring low or with kettles that have a wider gooseneck like the Bonavita. When pouring gently you need to make up for the loss in agitation by pouring from about 8 cm above the walls of the V60-02

        Like

      3. I have a fellow kettle and was already pouring with a bit of height, so it shouldn’t be a problem. Tried a few brews and the effects seem positive so far. I ran into an unexpected problem though, I think I discovered a new bug on the Acaia scale.

        Usually with my dose and ratio, the brewed coffee fills my cup perfectly. When using the Brewmaster app to measure my flow rate, all of a sudden I was left with more liquid, an extra 30ml of coffee, even if I used the same parameters. I thought I must have made an error at first, forgot to throw out my rinsing water or something, but I brewed another cup and got the same problem again. Without using the app everything is back to normal. Did you every have any issues of the kind yourself?

        Like

      4. Oh yes I had this exact problem when I had put padding below my Acaia scale to level it because my counter isn’t level. I don’t use the Acaia apps anymore, so in my case the problem wasn’t linked to them but I could see them causing a similar problem too, they’re not exactly stable.

        Like

  2. I think you need to change 4.1 cm and 4.0 cm in your text to 4.1 mm and 4.0 mm.

    Is your article “Lower Temperatures for Darker Roasts” only for Patreons or will you release it in the future?

    Like

  3. Hey Jonathan,

    Do you agree with the notion in James Hoffman’s v60 guide that the flow rate should be a function of the brew size? So, for a 25 gram v60, would you target closer to 6 or 7 grams per second?

    Should the 2nd pour be identical to the first? Or should it be lower and slower?

    Thx!
    Steve

    Like

    1. Hey Steve, yes I think it’s likely that Hoffman is right. More coffee needs more agitation and more water column to push down for a similar V60 flow. I don’t know if there’s any benefit to having different type pours within the same brew, so I just do the same for the first and second pours.

      Like

  4. Hi Jonathan,
    Thanks for your deep research, I’ve been struggling with making my flow rate consistent for a while now. I’ve got a cheap kettle with a maximum flow rate even higher than your 24g/s, but it also seems to have diameter of 6-7mm. Do you know where to find these flow restrictors online? Maybe same one would be a help in my case too… Targeting anything close to 5g/s is a nightmare.
    All best,
    Miłosz

    Like

    1. Hey ! There are some on Amazon. They usually only fit the 1.0L kettles, but it sounds like that’s what you have. You shouldn’t try to hit 5 g/s if it’s extremely hard to do with your kettle, settle with a flow rate you can maintain with stability.

      Like

  5. I’ll look for it. I usually brew 15g of coffee with 1/16, 1/17 ratio. Having more than 300 ml of coffee is a little too much for me right now:) I’m afraid that these higher flow rates would create too much of agitation for such a small coffee bed, don’t you think? But maybe this could be fixed with coarser grind setting…

    Like

Leave a comment